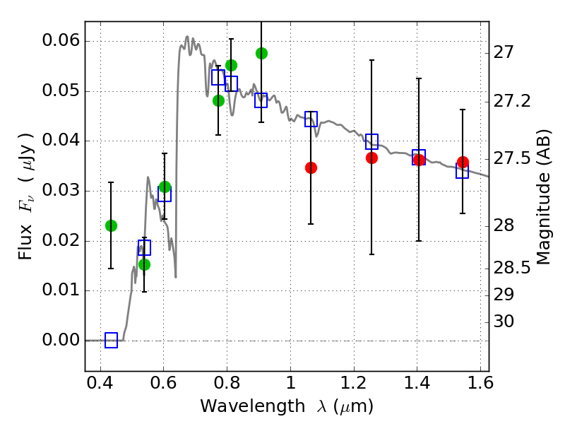
RXC0018+16 ACS+IR detection object #4674

Color images and BPZ results
Catalog: 4674.cat
Black segments are analyzed here.   Roll mouse over color images to view segments.
Best viewed in a wide browser window (1200 pixels or more).   Download SED & P(z) plots to view larger versions.
In P(z) plots: Yellow lines mark the cluster redshift z = 0.546,  

Object #4674   x,y = (4596, 4355)   RA, Dec = (00:18:30.648, 16:26:57.48) = (4.62770, 16.44930)   BPZ = 4.267 [0.436--4.495]   type = 10.80 (SB11_A_0_l - SB3_B10)   chisq2 = 1.19   ODDS = 0.53   z_cluster = 0.546