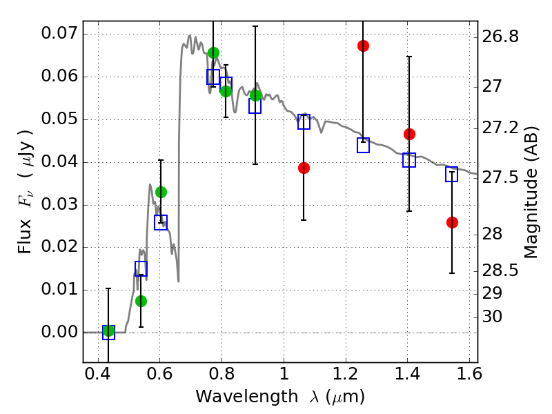
RXC0018+16 ACS+IR detection object #13743

Color images and BPZ results
Catalog: 13743.cat
Black segments are analyzed here.   Roll mouse over color images to view segments.
Best viewed in a wide browser window (1200 pixels or more).   Download SED & P(z) plots to view larger versions.
In P(z) plots: Yellow lines mark the cluster redshift z = 0.546,  

Object #13743   x,y = (3983, 4699)   RA, Dec = (00:18:33.192, 16:27:18.36) = (4.63830, 16.45510)   BPZ = 4.437 [4.151--4.711]   type = 11.00 (SB11_A_0_l)   chisq2 = 0.70   ODDS = 0.88   z_cluster = 0.546