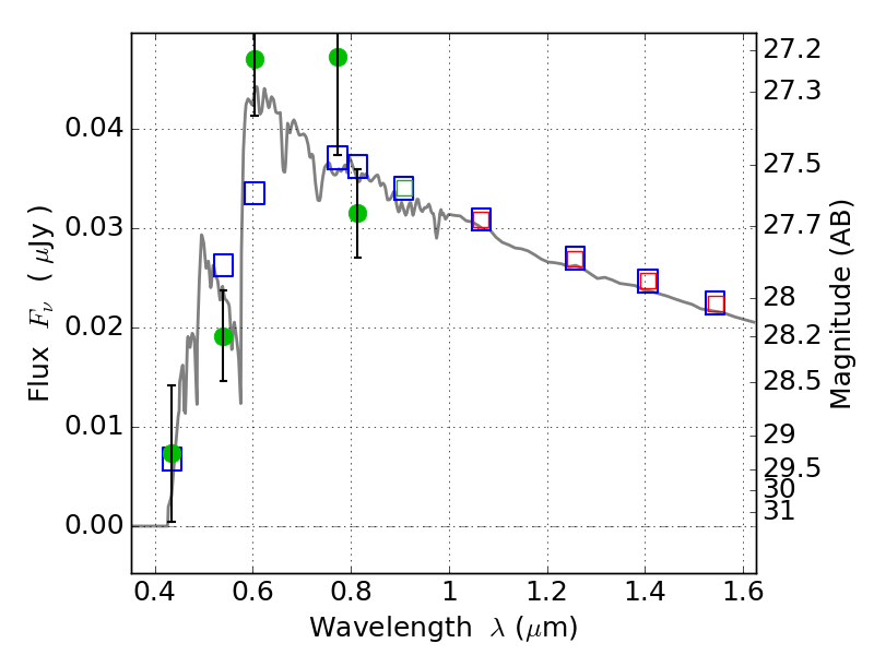
RXC0018+16 ACS+IR detection object #13558

Color images and BPZ results
Catalog: 13558.cat
Black segments are analyzed here.   Roll mouse over color images to view segments.
Best viewed in a wide browser window (1200 pixels or more).   Download SED & P(z) plots to view larger versions.
In P(z) plots: Yellow lines mark the cluster redshift z = 0.546,  

Object #13558   x,y = (2892, 4777)   RA, Dec = (00:18:37.752, 16:27:23.04) = (4.65730, 16.45640)   BPZ = 3.738 [0.270--3.973]   type = 11.00 (SB11_A_0_l)   chisq2 = 4.19   ODDS = 0.51   z_cluster = 0.546