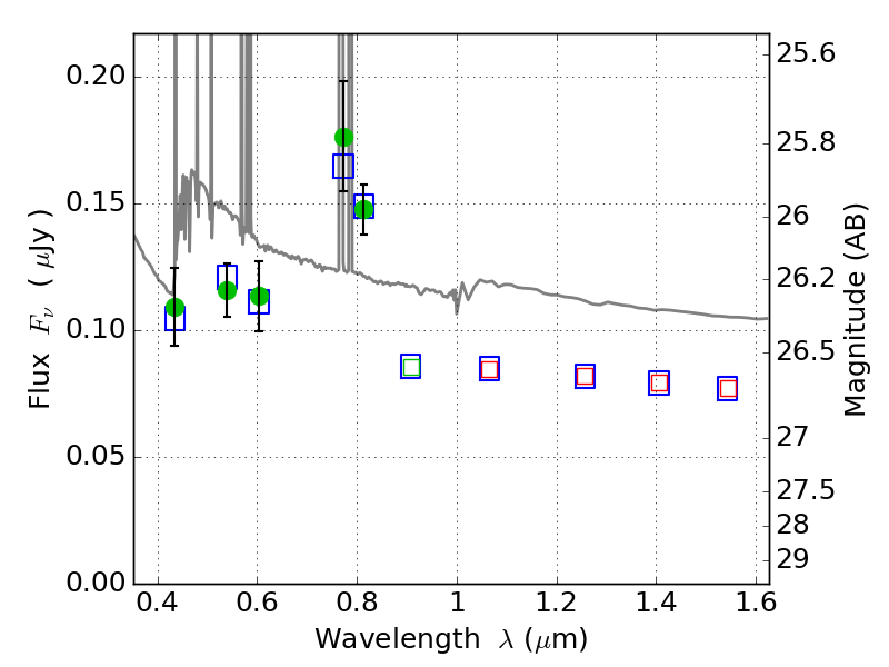
RXC0018+16 ACS+IR detection object #12291

Color images and BPZ results
Catalog: 12291.cat
Black segments are analyzed here.   Roll mouse over color images to view segments.
Best viewed in a wide browser window (1200 pixels or more).   Download SED & P(z) plots to view larger versions.
In P(z) plots: Yellow lines mark the cluster redshift z = 0.546,  

Object #12291   x,y = (2827, 5295)   RA, Dec = (00:18:38.016, 16:27:54.00) = (4.65840, 16.46500)   BPZ = 0.172 [0.110--2.505]   type = 11.00 (SB11_A_0_l)   chisq2 = 0.22   ODDS = 0.09   z_cluster = 0.546