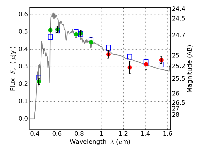
RXC0018+16 IR detection object #723

Color images and BPZ results
Catalog: 723.cat
Black segments are analyzed here.   Roll mouse over color images to view segments.
Best viewed in a wide browser window (1200 pixels or more).   Download SED & P(z) plots to view larger versions.
In P(z) plots: Yellow lines mark the cluster redshift z = 0.546,  

Object #723   x,y = (3859, 3414)   RA, Dec = (00:18:33.720, 16:26:01.32) = (4.64050, 16.43370)   BPZ = 3.413 [3.332--3.464]   type = 10.90 (SB11_A_0_l - SB3_B10)   stellarity = 0.15   chisq2 = 0.65   ODDS = 1.00   z_cluster = 0.546