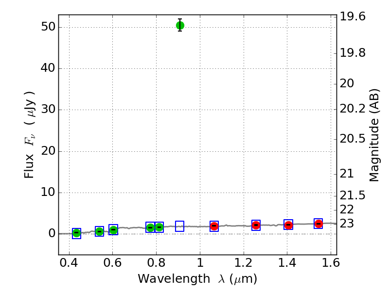
RXC0018+16 IR detection object #1056

Color images and BPZ results
Catalog: 1056.cat
Black segments are analyzed here.   Roll mouse over color images to view segments.
Best viewed in a wide browser window (1200 pixels or more).   Download SED & P(z) plots to view larger versions.
In P(z) plots: Yellow lines mark the cluster redshift z = 0.546,  

Object #1056   x,y = (4144, 2836)   RA, Dec = (00:18:32.520, 16:25:26.40) = (4.63550, 16.42400)   BPZ = 3.819 [3.756--3.887]   type = 8.50 (SB2_B10 - SB1_B10)   stellarity = 0.03   chisq2 = 151.36   ODDS = 1.00   z_cluster = 0.546