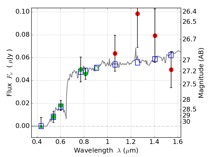
RXC0018+16 IR detection object #100

Color images and BPZ results
Catalog: 100.cat
Black segments are analyzed here.   Roll mouse over color images to view segments.
Best viewed in a wide browser window (1200 pixels or more).   Download SED & P(z) plots to view larger versions.
In P(z) plots: Yellow lines mark the cluster redshift z = 0.546,  

Object #100   x,y = (3368, 4489)   RA, Dec = (00:18:35.760, 16:27:05.76) = (4.64900, 16.45160)   BPZ = 4.337 [0.594--4.686]   type = 9.10 (SB2_B10 - SB3_B10)   stellarity = 0.08   chisq2 = 0.67   ODDS = 0.66   z_cluster = 0.546