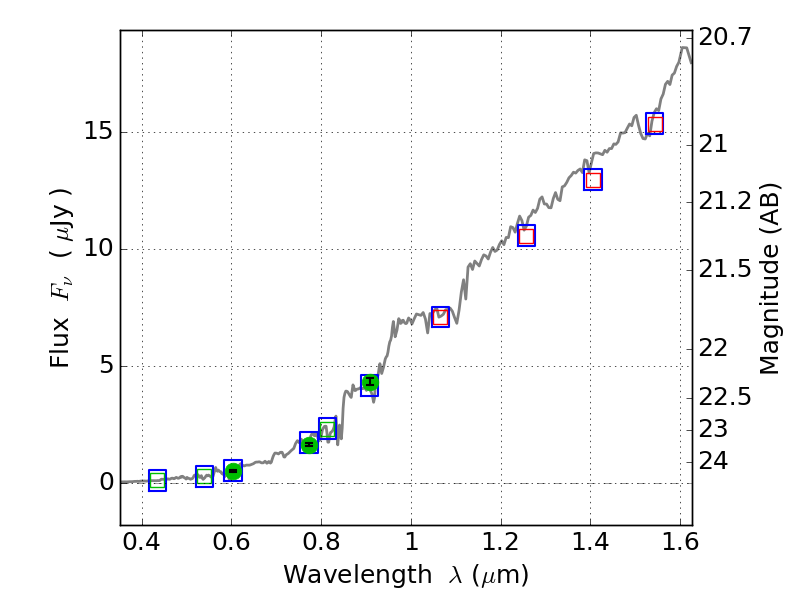
RXC0018+16 ACS+IR detection object #9800

Color images and BPZ results
Catalog: 9800.cat
Black segments are analyzed here.   Roll mouse over color images to view segments.
Best viewed in a wide browser window (1200 pixels or more).   Download SED & P(z) plots to view larger versions.
In P(z) plots: Yellow lines mark the cluster redshift z = 0.546,  

Object #9800   x,y = (5881, 2598)   RA, Dec = (00:18:25.296, 16:25:12.00) = (4.60540, 16.42000)   BPZ = 1.129 [0.981--1.826]   type = 5.20 (ES0_B10 - Sbc_B10)   stellarity = 0.00   chisq2 = 0.03   ODDS = 0.85   z_cluster = 0.546