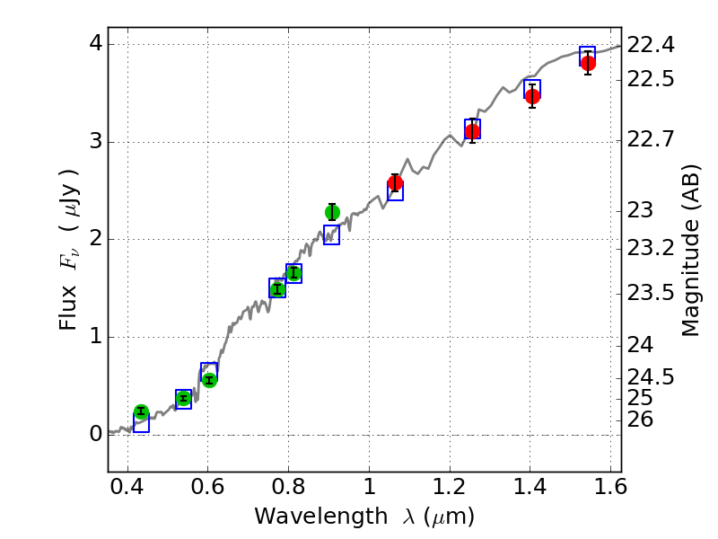
RXC0018+16 ACS+IR detection object #9467

Color images and BPZ results
Catalog: 9467.cat
Black segments are analyzed here.   Roll mouse over color images to view segments.
Best viewed in a wide browser window (1200 pixels or more).   Download SED & P(z) plots to view larger versions.
In P(z) plots: Yellow lines mark the cluster redshift z = 0.546,  

Object #9467   x,y = (4491, 2732)   RA, Dec = (00:18:31.080, 16:25:20.28) = (4.62950, 16.42230)   BPZ = 0.452 [0.405--0.796]   type = 4.00 (Ell4_A_0)   stellarity = 0.01   chisq2 = 0.19   ODDS = 0.78   z_cluster = 0.546