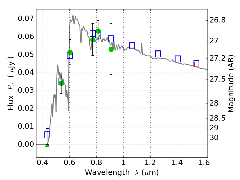
RXC0018+16 ACS+IR detection object #9351

Color images and BPZ results
Catalog: 9351.cat
Black segments are analyzed here.   Roll mouse over color images to view segments.
Best viewed in a wide browser window (1200 pixels or more).   Download SED & P(z) plots to view larger versions.
In P(z) plots: Yellow lines mark the cluster redshift z = 0.546,  

Object #9351   x,y = (5432, 2778)   RA, Dec = (00:18:27.168, 16:25:22.80) = (4.61320, 16.42300)   BPZ = 3.894 [0.328--4.115]   type = 10.40 (SB3_B10 - SB11_A_0_l)   stellarity = 0.07   chisq2 = 0.25   ODDS = 0.53   z_cluster = 0.546