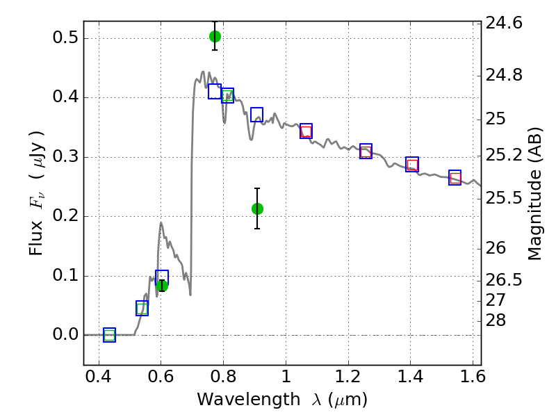
RXC0018+16 ACS+IR detection object #9040

Color images and BPZ results
Catalog: 9040.cat
Black segments are analyzed here.   Roll mouse over color images to view segments.
Best viewed in a wide browser window (1200 pixels or more).   Download SED & P(z) plots to view larger versions.
In P(z) plots: Yellow lines mark the cluster redshift z = 0.546,  

Object #9040   x,y = (5983, 2872)   RA, Dec = (00:18:24.864, 16:25:28.56) = (4.60360, 16.42460)   BPZ = 4.739 [4.662--4.814]   type = 10.90 (SB11_A_0_l - SB3_B10)   stellarity = 0.92   chisq2 = 19.88   ODDS = 1.00   z_cluster = 0.546