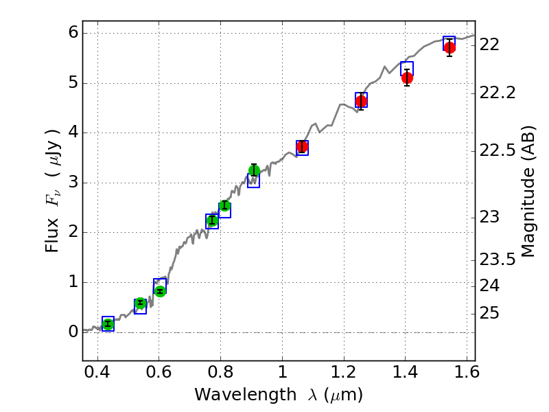
RXC0018+16 ACS+IR detection object #8919

Color images and BPZ results
Catalog: 8919.cat
Black segments are analyzed here.   Roll mouse over color images to view segments.
Best viewed in a wide browser window (1200 pixels or more).   Download SED & P(z) plots to view larger versions.
In P(z) plots: Yellow lines mark the cluster redshift z = 0.546,  

Object #8919   x,y = (4419, 2904)   RA, Dec = (00:18:31.392, 16:25:30.72) = (4.63080, 16.42520)   BPZ = 0.465 [0.416--0.500]   type = 4.00 (Ell4_A_0)   stellarity = 0.02   chisq2 = 0.10   ODDS = 0.99   z_cluster = 0.546