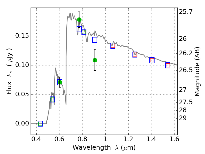
RXC0018+16 ACS+IR detection object #884

Color images and BPZ results
Catalog: 884.cat
Black segments are analyzed here.   Roll mouse over color images to view segments.
Best viewed in a wide browser window (1200 pixels or more).   Download SED & P(z) plots to view larger versions.
In P(z) plots: Yellow lines mark the cluster redshift z = 0.546,  

Object #884   x,y = (4951, 1227)   RA, Dec = (00:18:29.160, 16:23:49.92) = (4.62150, 16.39720)   BPZ = 4.424 [0.595--4.579]   type = 11.00 (SB11_A_0_l)   stellarity = 0.09   chisq2 = 3.56   ODDS = 0.89   z_cluster = 0.546