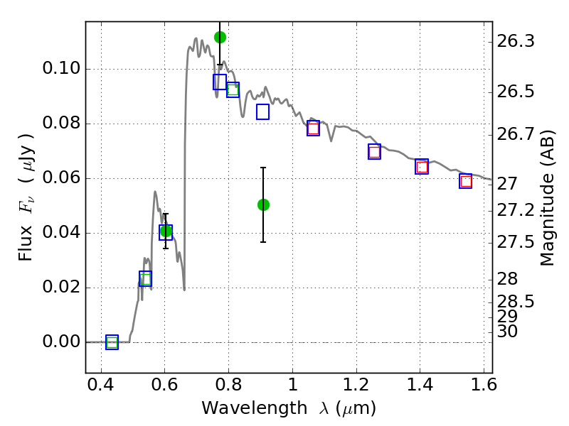
RXC0018+16 ACS+IR detection object #7809

Color images and BPZ results
Catalog: 7809.cat
Black segments are analyzed here.   Roll mouse over color images to view segments.
Best viewed in a wide browser window (1200 pixels or more).   Download SED & P(z) plots to view larger versions.
In P(z) plots: Yellow lines mark the cluster redshift z = 0.546,  

Object #7809   x,y = (6285, 3286)   RA, Dec = (00:18:23.592, 16:25:53.40) = (4.59830, 16.43150)   BPZ = 4.448 [0.140--4.625]   type = 11.00 (SB11_A_0_l)   stellarity = 0.42   chisq2 = 6.96   ODDS = 0.77   z_cluster = 0.546