RXC0018+16 ACS+IR detection object #7709

Color images and BPZ results
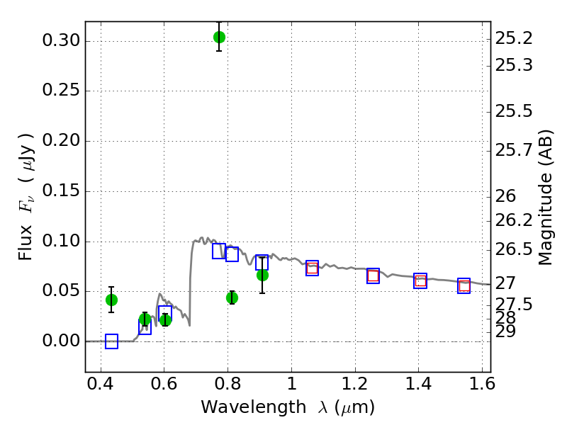
Catalog: 7709.cat
Black segments are analyzed here.   Roll mouse over color images to view segments.
Best viewed in a wide browser window (1200 pixels or more).   Download SED & P(z) plots to view larger versions.
In P(z) plots: Yellow lines mark the cluster redshift z = 0.546,  

Object #7709   x,y = (5844, 3411)   RA, Dec = (00:18:25.440, 16:26:00.96) = (4.60600, 16.43360)   BPZ = 4.609 [4.449--4.725]   type = 11.00 (SB11_A_0_l)   stellarity = 0.68   chisq2 = 75.22   ODDS = 0.99   z_cluster = 0.546