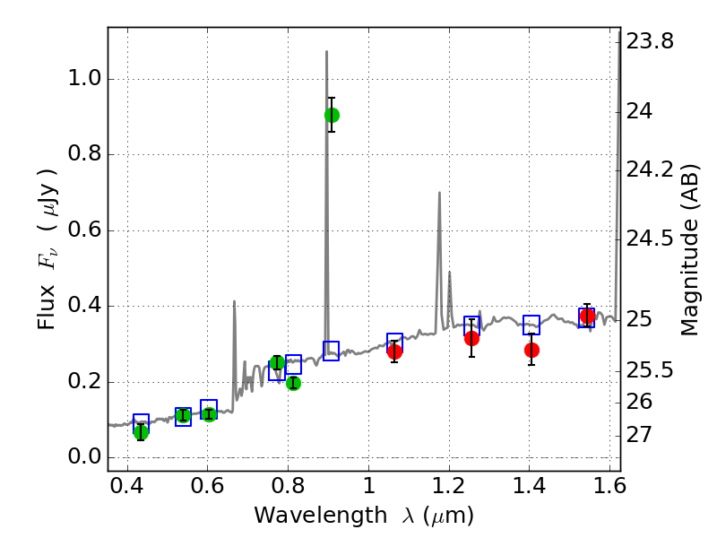
RXC0018+16 ACS+IR detection object #7464

Color images and BPZ results
Catalog: 7464.cat
Black segments are analyzed here.   Roll mouse over color images to view segments.
Best viewed in a wide browser window (1200 pixels or more).   Download SED & P(z) plots to view larger versions.
In P(z) plots: Yellow lines mark the cluster redshift z = 0.546,  

Object #7464   x,y = (3551, 3786)   RA, Dec = (00:18:34.992, 16:26:23.28) = (4.64580, 16.43980)   BPZ = 0.789 [0.686--0.998]   type = 8.60 (SB2_B10 - SB1_B10)   stellarity = 0.65   chisq2 = 21.51   ODDS = 0.60   z_cluster = 0.546