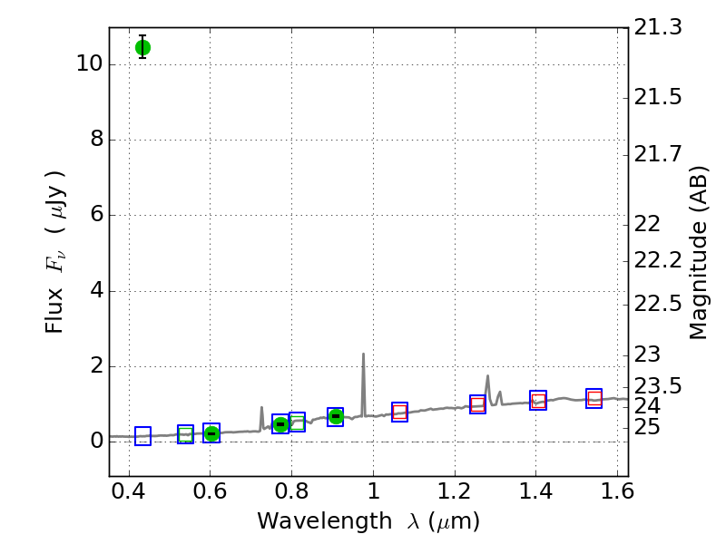
RXC0018+16 ACS+IR detection object #7355

Color images and BPZ results
Catalog: 7355.cat
Black segments are analyzed here.   Roll mouse over color images to view segments.
Best viewed in a wide browser window (1200 pixels or more).   Download SED & P(z) plots to view larger versions.
In P(z) plots: Yellow lines mark the cluster redshift z = 0.546,  

Object #7355   x,y = (5963, 3399)   RA, Dec = (00:18:24.936, 16:26:00.24) = (4.60390, 16.43340)   BPZ = 0.955 [0.842--1.059]   type = 7.50 (SB1_B10 - Scd_B10)   stellarity = 0.96   chisq2 = 1053.00   ODDS = 0.87   z_cluster = 0.546