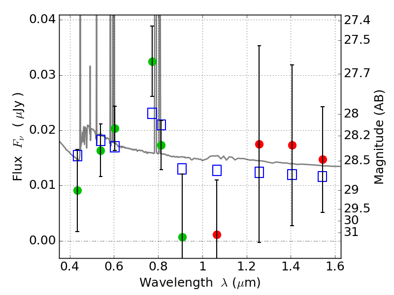
RXC0018+16 ACS+IR detection object #7175

Color images and BPZ results
Catalog: 7175.cat
Black segments are analyzed here.   Roll mouse over color images to view segments.
Best viewed in a wide browser window (1200 pixels or more).   Download SED & P(z) plots to view larger versions.
In P(z) plots: Yellow lines mark the cluster redshift z = 0.546,  

Object #7175   x,y = (5404, 3475)   RA, Dec = (00:18:27.264, 16:26:04.92) = (4.61360, 16.43470)   BPZ = 0.197 [0.089--3.818]   type = 11.00 (SB11_A_0_l)   stellarity = 0.35   chisq2 = 0.99   ODDS = 0.12   z_cluster = 0.546