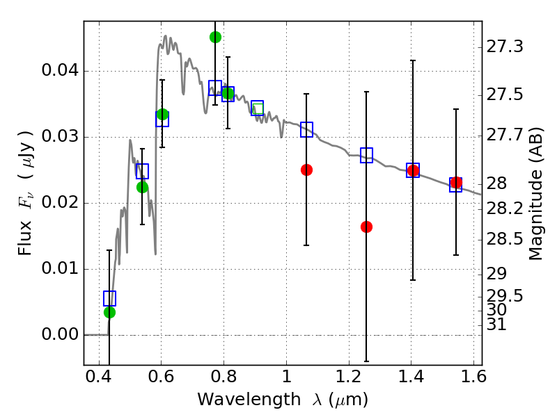
RXC0018+16 ACS+IR detection object #6836

Color images and BPZ results
Catalog: 6836.cat
Black segments are analyzed here.   Roll mouse over color images to view segments.
Best viewed in a wide browser window (1200 pixels or more).   Download SED & P(z) plots to view larger versions.
In P(z) plots: Yellow lines mark the cluster redshift z = 0.546,  

Object #6836   x,y = (5057, 3817)   RA, Dec = (00:18:28.728, 16:26:25.44) = (4.61970, 16.44040)   BPZ = 3.791 [0.226--4.120]   type = 11.00 (SB11_A_0_l)   stellarity = 0.41   chisq2 = 0.22   ODDS = 0.61   z_cluster = 0.546