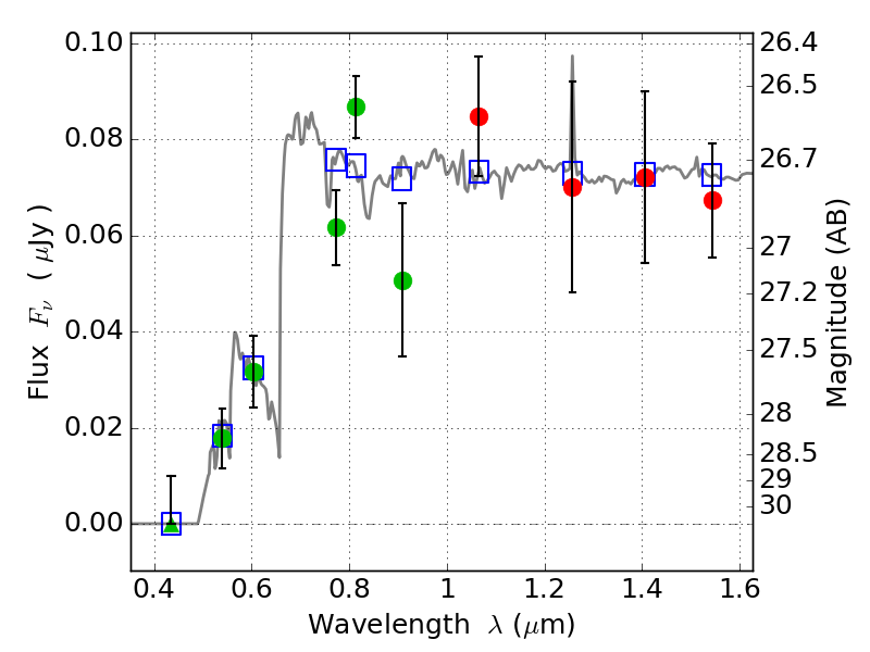
RXC0018+16 ACS+IR detection object #6126

Color images and BPZ results
Catalog: 6126.cat
Black segments are analyzed here.   Roll mouse over color images to view segments.
Best viewed in a wide browser window (1200 pixels or more).   Download SED & P(z) plots to view larger versions.
In P(z) plots: Yellow lines mark the cluster redshift z = 0.546,  

Object #6126   x,y = (4075, 3838)   RA, Dec = (00:18:32.808, 16:26:26.52) = (4.63670, 16.44070)   BPZ = 4.408 [3.978--4.670]   type = 9.90 (SB3_B10 - SB2_B10)   stellarity = 0.54   chisq2 = 1.00   ODDS = 0.82   z_cluster = 0.546