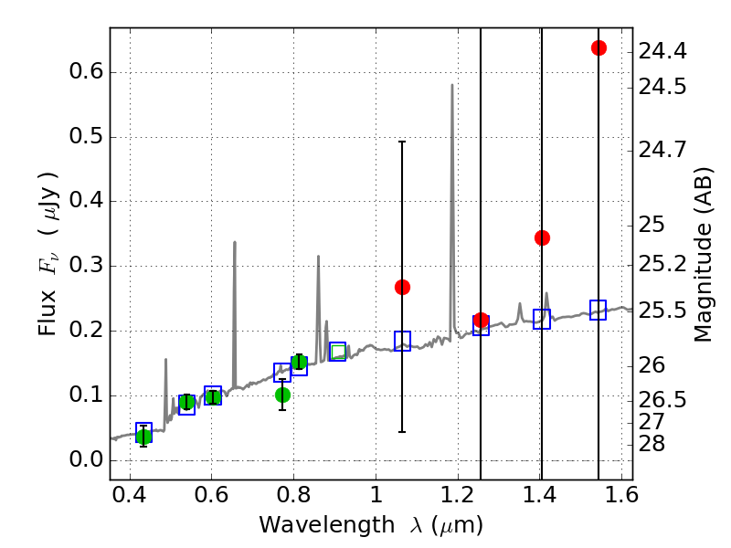
RXC0018+16 ACS+IR detection object #6095

Color images and BPZ results
Catalog: 6095.cat
Black segments are analyzed here.   Roll mouse over color images to view segments.
Best viewed in a wide browser window (1200 pixels or more).   Download SED & P(z) plots to view larger versions.
In P(z) plots: Yellow lines mark the cluster redshift z = 0.546,  

Object #6095   x,y = (2724, 3849)   RA, Dec = (00:18:38.448, 16:26:27.24) = (4.66020, 16.44090)   BPZ = 0.315 [0.146--3.535]   type = 7.80 (SB1_B10 - Scd_B10)   stellarity = 0.08   chisq2 = 0.32   ODDS = 0.20   z_cluster = 0.546