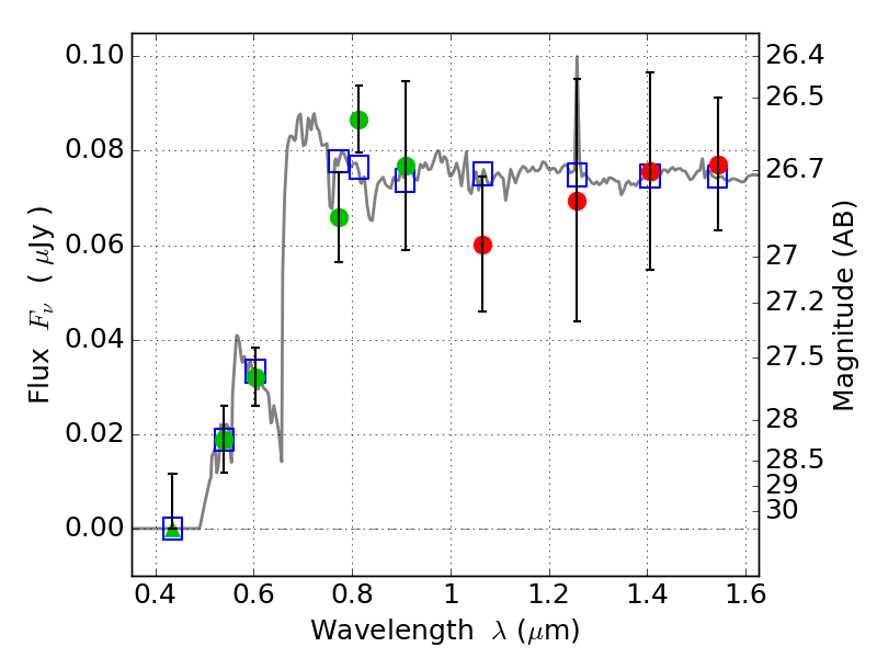
RXC0018+16 ACS+IR detection object #5846

Color images and BPZ results
Catalog: 5846.cat
Black segments are analyzed here.   Roll mouse over color images to view segments.
Best viewed in a wide browser window (1200 pixels or more).   Download SED & P(z) plots to view larger versions.
In P(z) plots: Yellow lines mark the cluster redshift z = 0.546,  

Object #5846   x,y = (5016, 3931)   RA, Dec = (00:18:28.896, 16:26:32.28) = (4.62040, 16.44230)   BPZ = 4.408 [3.904--4.632]   type = 9.90 (SB3_B10 - SB2_B10)   stellarity = 0.35   chisq2 = 0.51   ODDS = 0.79   z_cluster = 0.546