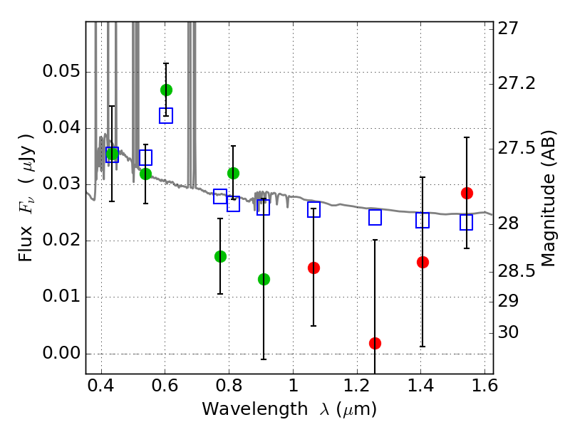
RXC0018+16 ACS+IR detection object #5066

Color images and BPZ results
Catalog: 5066.cat
Black segments are analyzed here.   Roll mouse over color images to view segments.
Best viewed in a wide browser window (1200 pixels or more).   Download SED & P(z) plots to view larger versions.
In P(z) plots: Yellow lines mark the cluster redshift z = 0.546,  

Object #5066   x,y = (4876, 4199)   RA, Dec = (00:18:29.472, 16:26:48.12) = (4.62280, 16.44670)   BPZ = 0.028 [0.022--3.103]   type = 11.00 (SB11_A_0_l)   stellarity = 0.37   chisq2 = 1.10   ODDS = 0.09   z_cluster = 0.546