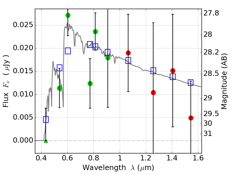
RXC0018+16 ACS+IR detection object #4928

Color images and BPZ results
Catalog: 4928.cat
Black segments are analyzed here.   Roll mouse over color images to view segments.
Best viewed in a wide browser window (1200 pixels or more).   Download SED & P(z) plots to view larger versions.
In P(z) plots: Yellow lines mark the cluster redshift z = 0.546,  

Object #4928   x,y = (4744, 4255)   RA, Dec = (00:18:30.024, 16:26:51.72) = (4.62510, 16.44770)   BPZ = 3.679 [0.249--4.050]   type = 11.00 (SB11_A_0_l)   stellarity = 0.35   chisq2 = 1.16   ODDS = 0.52   z_cluster = 0.546