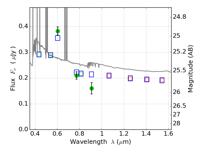
RXC0018+16 ACS+IR detection object #4452

Color images and BPZ results
Catalog: 4452.cat
Black segments are analyzed here.   Roll mouse over color images to view segments.
Best viewed in a wide browser window (1200 pixels or more).   Download SED & P(z) plots to view larger versions.
In P(z) plots: Yellow lines mark the cluster redshift z = 0.546,  

Object #4452   x,y = (6098, 2553)   RA, Dec = (00:18:24.384, 16:25:09.48) = (4.60160, 16.41930)   BPZ = 0.020 [0.010--0.042]   type = 11.00 (SB11_A_0_l)   stellarity = 0.84   chisq2 = 3.89   ODDS = 1.00   z_cluster = 0.546