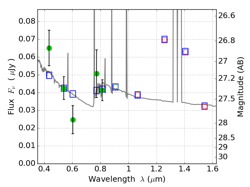
RXC0018+16 ACS+IR detection object #4422

Color images and BPZ results
Catalog: 4422.cat
Black segments are analyzed here.   Roll mouse over color images to view segments.
Best viewed in a wide browser window (1200 pixels or more).   Download SED & P(z) plots to view larger versions.
In P(z) plots: Yellow lines mark the cluster redshift z = 0.546,  

Object #4422   x,y = (2457, 2543)   RA, Dec = (00:18:39.552, 16:25:08.76) = (4.66480, 16.41910)   BPZ = 1.029 [0.650--2.493]   type = 11.00 (SB11_A_0_l)   stellarity = 0.35   chisq2 = 2.44   ODDS = 0.19   z_cluster = 0.546