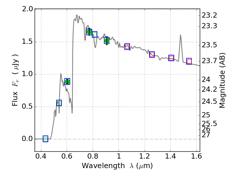
RXC0018+16 ACS+IR detection object #4094

Color images and BPZ results
Catalog: 4094.cat
Black segments are analyzed here.   Roll mouse over color images to view segments.
Best viewed in a wide browser window (1200 pixels or more).   Download SED & P(z) plots to view larger versions.
In P(z) plots: Yellow lines mark the cluster redshift z = 0.546,  

Object #4094   x,y = (6269, 2441)   RA, Dec = (00:18:23.664, 16:25:02.64) = (4.59860, 16.41740)   BPZ = 4.288 [0.572--4.348]   type = 10.50 (SB11_A_0_l - SB3_B10)   stellarity = 0.01   chisq2 = 0.00   ODDS = 0.80   z_cluster = 0.546