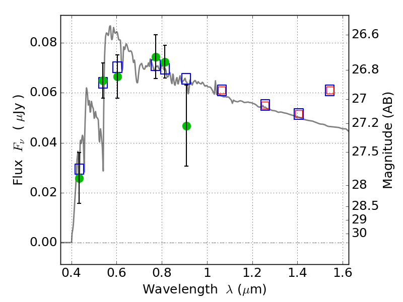
RXC0018+16 ACS+IR detection object #3365

Color images and BPZ results
Catalog: 3365.cat
Black segments are analyzed here.   Roll mouse over color images to view segments.
Best viewed in a wide browser window (1200 pixels or more).   Download SED & P(z) plots to view larger versions.
In P(z) plots: Yellow lines mark the cluster redshift z = 0.546,  

Object #3365   x,y = (3090, 2197)   RA, Dec = (00:18:36.936, 16:24:48.24) = (4.65390, 16.41340)   BPZ = 3.457 [0.143--3.645]   type = 10.50 (SB11_A_0_l - SB3_B10)   stellarity = 0.41   chisq2 = 0.57   ODDS = 0.40   z_cluster = 0.546