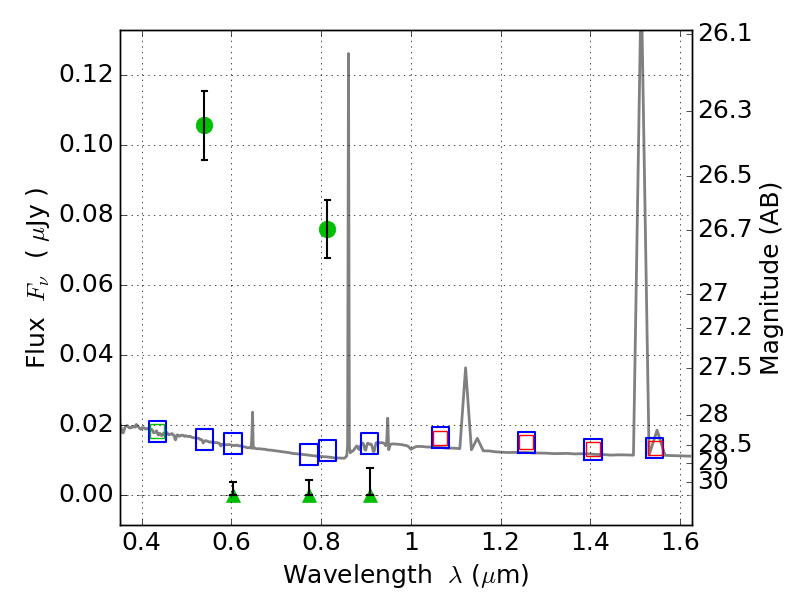
RXC0018+16 ACS+IR detection object #2590

Color images and BPZ results
Catalog: 2590.cat
Black segments are analyzed here.   Roll mouse over color images to view segments.
Best viewed in a wide browser window (1200 pixels or more).   Download SED & P(z) plots to view larger versions.
In P(z) plots: Yellow lines mark the cluster redshift z = 0.546,  

Object #2590   x,y = (3603, 1928)   RA, Dec = (00:18:34.776, 16:24:32.04) = (4.64490, 16.40890)   BPZ = 1.314 [0.177--3.185]   type = 11.00 (SB11_A_0_l)   stellarity = 0.64   chisq2 = 81.18   ODDS = 0.10   z_cluster = 0.546