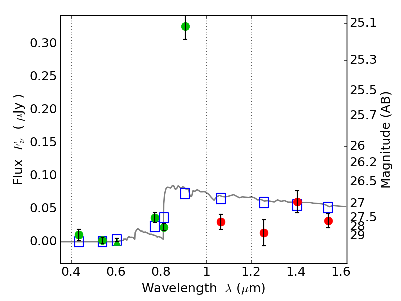
RXC0018+16 ACS+IR detection object #14239

Color images and BPZ results
Catalog: 14239.cat
Black segments are analyzed here.   Roll mouse over color images to view segments.
Best viewed in a wide browser window (1200 pixels or more).   Download SED & P(z) plots to view larger versions.
In P(z) plots: Yellow lines mark the cluster redshift z = 0.546,  

Object #14239   x,y = (3726, 4518)   RA, Dec = (00:18:34.272, 16:27:07.20) = (4.64280, 16.45200)   BPZ = 5.672 [5.484--5.810]   type = 11.00 (SB11_A_0_l)   stellarity = 0.40   chisq2 = 25.33   ODDS = 1.00   z_cluster = 0.546