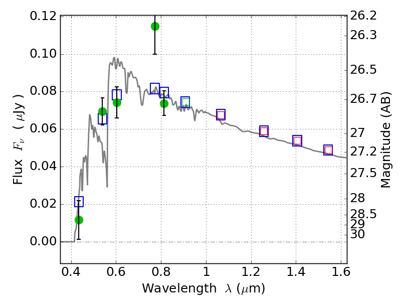
RXC0018+16 ACS+IR detection object #13764

Color images and BPZ results
Catalog: 13764.cat
Black segments are analyzed here.   Roll mouse over color images to view segments.
Best viewed in a wide browser window (1200 pixels or more).   Download SED & P(z) plots to view larger versions.
In P(z) plots: Yellow lines mark the cluster redshift z = 0.546,  

Object #13764   x,y = (2809, 4693)   RA, Dec = (00:18:38.088, 16:27:18.00) = (4.65870, 16.45500)   BPZ = 3.624 [0.391--3.799]   type = 11.00 (SB11_A_0_l)   stellarity = 0.10   chisq2 = 2.92   ODDS = 0.64   z_cluster = 0.546