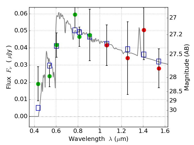
RXC0018+16 ACS+IR detection object #13730

Color images and BPZ results
Catalog: 13730.cat
Black segments are analyzed here.   Roll mouse over color images to view segments.
Best viewed in a wide browser window (1200 pixels or more).   Download SED & P(z) plots to view larger versions.
In P(z) plots: Yellow lines mark the cluster redshift z = 0.546,  

Object #13730   x,y = (4013, 4703)   RA, Dec = (00:18:33.072, 16:27:18.36) = (4.63780, 16.45510)   BPZ = 3.877 [0.204--4.185]   type = 10.80 (SB11_A_0_l - SB3_B10)   stellarity = 0.41   chisq2 = 0.68   ODDS = 0.46   z_cluster = 0.546