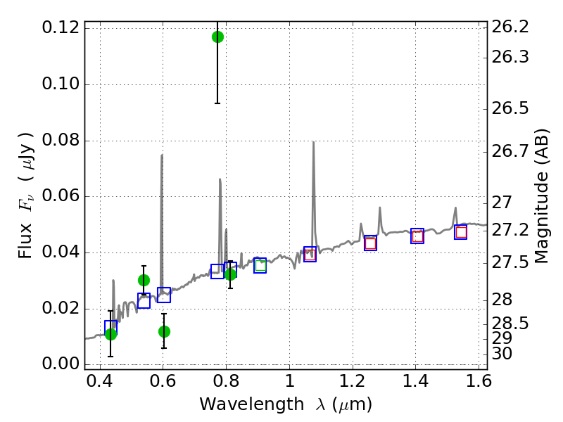
RXC0018+16 ACS+IR detection object #12962

Color images and BPZ results
Catalog: 12962.cat
Black segments are analyzed here.   Roll mouse over color images to view segments.
Best viewed in a wide browser window (1200 pixels or more).   Download SED & P(z) plots to view larger versions.
In P(z) plots: Yellow lines mark the cluster redshift z = 0.546,  

Object #12962   x,y = (4986, 5070)   RA, Dec = (00:18:29.016, 16:27:40.32) = (4.62090, 16.46120)   BPZ = 0.192 [0.132--3.494]   type = 8.00 (SB1_B10)   stellarity = 0.35   chisq2 = 8.57   ODDS = 0.05   z_cluster = 0.546