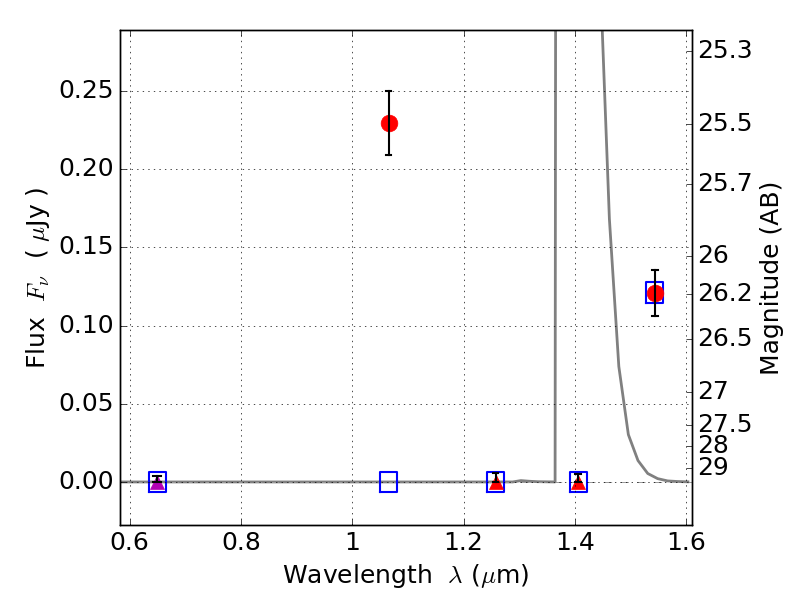
PLCKG308-20-PAR IR detection object #2397

Color images and BPZ results
Catalog: 2397.cat
Black segments are analyzed here.   Roll mouse over color images to view segments.
Best viewed in a wide browser window (1200 pixels or more).   Download SED & P(z) plots to view larger versions.
In P(z) plots: Yellow lines mark the cluster redshift z = 0.480,  

Object #2397   x,y = (1619, 2245)   RA, Dec = (15:21:20.640, -81:34:38.64) = (230.33600, -81.57740)   BPZ = 12.320 [12.021--12.966]   type = 11.00 (SB11_A_0_l)   chisq2 = 54.04   ODDS = 0.88   z_cluster = 0.480