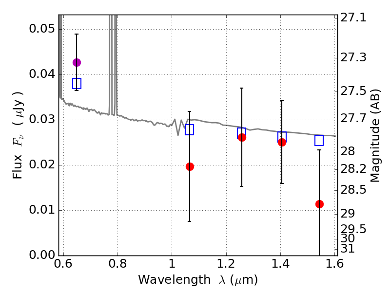
PLCKG308-20-PAR IR detection object #1476

Color images and BPZ results
Catalog: 1476.cat
Black segments are analyzed here.   Roll mouse over color images to view segments.
Best viewed in a wide browser window (1200 pixels or more).   Download SED & P(z) plots to view larger versions.
In P(z) plots: Yellow lines mark the cluster redshift z = 0.480,  

Object #1476   x,y = (3325, 2842)   RA, Dec = (15:20:34.104, -81:34:02.64) = (230.14210, -81.56740)   BPZ = 0.182 [0.070--3.260]   type = 11.00 (SB11_A_0_l)   chisq2 = 1.13   ODDS = 0.09   z_cluster = 0.480