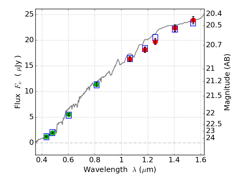
PLCKG287+32 IR detection object #758

Color images and BPZ results
Catalog: 758.cat
Black segments are analyzed here.   Roll mouse over color images to view segments.
Best viewed in a wide browser window (1200 pixels or more).   Download SED & P(z) plots to view larger versions.
In P(z) plots: Yellow lines mark the cluster redshift z = 0.390,  

Object #758   x,y = (1880, 3294)   RA, Dec = (11:50:54.192, -28:04:17.76) = (177.72580, -28.07160)   BPZ = 0.292 [0.231--0.324]   type = 4.10 (Ell4_A_0 - ES0_B10)   stellarity = 0.03   chisq2 = 0.06   ODDS = 0.95   z_cluster = 0.390