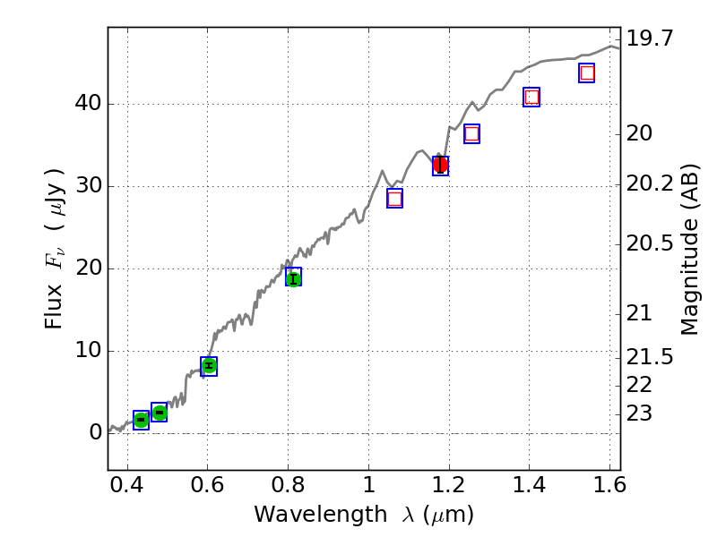
PLCKG287+32 IR detection object #391

Color images and BPZ results
Catalog: 391.cat
Black segments are analyzed here.   Roll mouse over color images to view segments.
Best viewed in a wide browser window (1200 pixels or more).   Download SED & P(z) plots to view larger versions.
In P(z) plots: Yellow lines mark the cluster redshift z = 0.390,  

Object #391   x,y = (3849, 3754)   RA, Dec = (11:50:45.264, -28:03:50.40) = (177.68860, -28.06400)   BPZ = 0.373 [0.288--0.415]   type = 4.20 (Ell4_A_0 - ES0_B10)   stellarity = 0.03   chisq2 = 0.01   ODDS = 0.88   z_cluster = 0.390