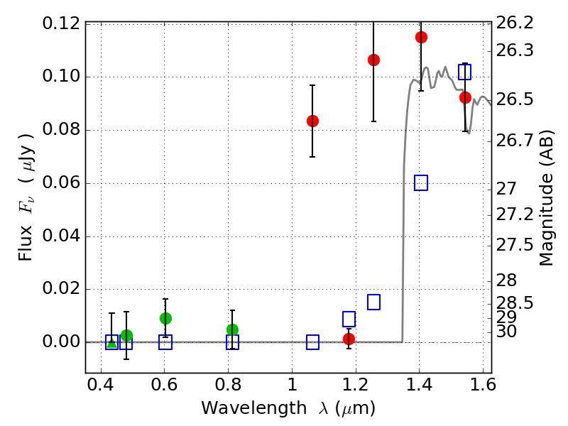
PLCKG287+32 IR detection object #2770

Color images and BPZ results
Catalog: 2770.cat
Black segments are analyzed here.   Roll mouse over color images to view segments.
Best viewed in a wide browser window (1200 pixels or more).   Download SED & P(z) plots to view larger versions.
In P(z) plots: Yellow lines mark the cluster redshift z = 0.390,  

Object #2770   x,y = (3513, 2063)   RA, Dec = (11:50:46.800, -28:05:31.56) = (177.69500, -28.09210)   BPZ = 10.100 [9.681--10.676]   type = 10.00 (SB3_B10)   stellarity = 0.49   chisq2 = 8.94   ODDS = 0.94   z_cluster = 0.390