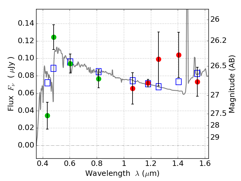
PLCKG287+32 IR detection object #2504

Color images and BPZ results
Catalog: 2504.cat
Black segments are analyzed here.   Roll mouse over color images to view segments.
Best viewed in a wide browser window (1200 pixels or more).   Download SED & P(z) plots to view larger versions.
In P(z) plots: Yellow lines mark the cluster redshift z = 0.390,  

Object #2504   x,y = (2713, 2159)   RA, Dec = (11:50:50.424, -28:05:25.80) = (177.71010, -28.09050)   BPZ = 2.943 [1.926--3.244]   type = 10.40 (SB3_B10 - SB11_A_0_l)   stellarity = 0.00   chisq2 = 2.31   ODDS = 0.55   z_cluster = 0.390