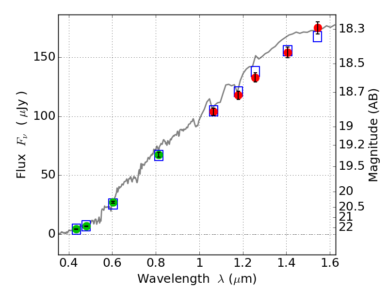
PLCKG287+32 IR detection object #1765

Color images and BPZ results
Catalog: 1765.cat
Black segments are analyzed here.   Roll mouse over color images to view segments.
Best viewed in a wide browser window (1200 pixels or more).   Download SED & P(z) plots to view larger versions.
In P(z) plots: Yellow lines mark the cluster redshift z = 0.390,  

Object #1765   x,y = (2854, 2713)   RA, Dec = (11:50:49.776, -28:04:52.68) = (177.70740, -28.08130)   BPZ = 0.383 [0.361--0.473]   type = 1.40 (Ell7_A_0 - Ell6_A_0)   stellarity = 0.03   chisq2 = 0.11   ODDS = 0.83   z_cluster = 0.390