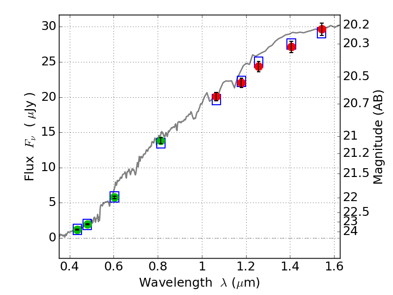
PLCKG287+32 IR detection object #1527

Color images and BPZ results
Catalog: 1527.cat
Black segments are analyzed here.   Roll mouse over color images to view segments.
Best viewed in a wide browser window (1200 pixels or more).   Download SED & P(z) plots to view larger versions.
In P(z) plots: Yellow lines mark the cluster redshift z = 0.390,  

Object #1527   x,y = (2885, 2710)   RA, Dec = (11:50:49.632, -28:04:53.04) = (177.70680, -28.08140)   BPZ = 0.354 [0.288--0.385]   type = 3.50 (Ell4_A_0 - Ell5_A_0)   stellarity = 0.03   chisq2 = 0.04   ODDS = 0.95   z_cluster = 0.390