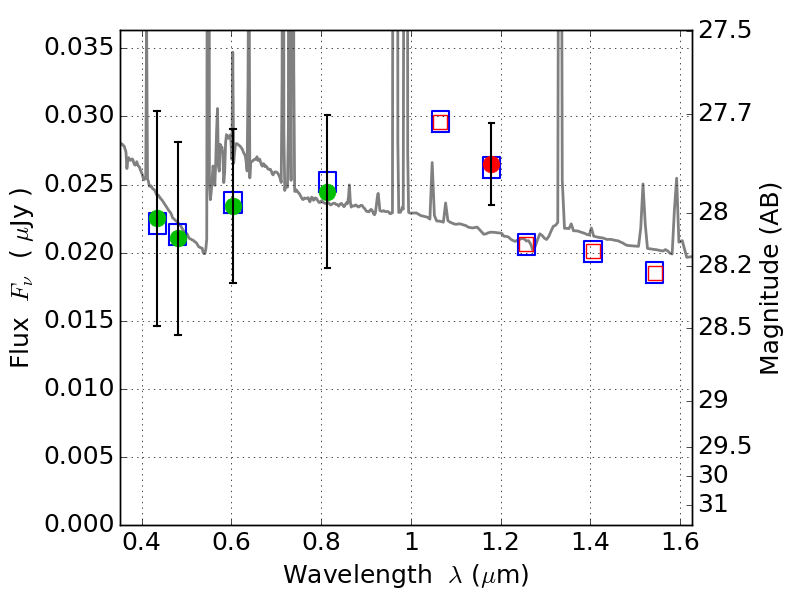
PLCKG287+32 ACS+IR detection object #5120

Color images and BPZ results
Catalog: 5120.cat
Black segments are analyzed here.   Roll mouse over color images to view segments.
Best viewed in a wide browser window (1200 pixels or more).   Download SED & P(z) plots to view larger versions.
In P(z) plots: Yellow lines mark the cluster redshift z = 0.390,  

Object #5120   x,y = (1738, 1978)   RA, Dec = (11:50:54.840, -28:05:36.96) = (177.72850, -28.09360)   BPZ = 0.469 [0.201--3.247]   type = 10.80 (SB11_A_0_l - SB3_B10)   stellarity = 0.02   chisq2 = 0.01   ODDS = 0.05   z_cluster = 0.390