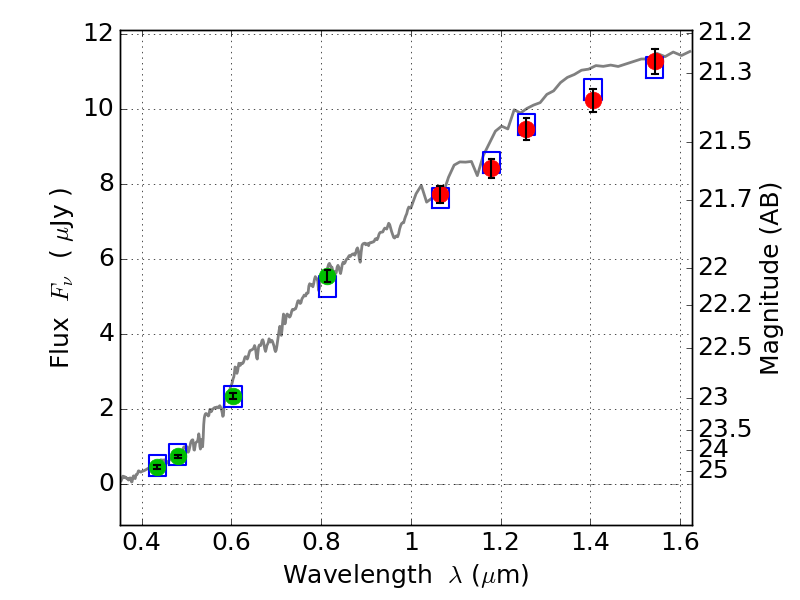
PLCKG287+32 ACS+IR detection object #4883

Color images and BPZ results
Catalog: 4883.cat
Black segments are analyzed here.   Roll mouse over color images to view segments.
Best viewed in a wide browser window (1200 pixels or more).   Download SED & P(z) plots to view larger versions.
In P(z) plots: Yellow lines mark the cluster redshift z = 0.390,  

Object #4883   x,y = (2638, 2111)   RA, Dec = (11:50:50.760, -28:05:28.68) = (177.71150, -28.09130)   BPZ = 0.348 [0.289--0.379]   type = 3.90 (Ell4_A_0 - Ell5_A_0)   stellarity = 0.03   chisq2 = 0.06   ODDS = 0.97   z_cluster = 0.390