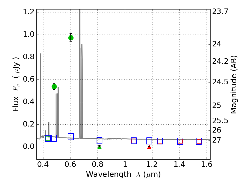
PLCKG287+32 ACS+IR detection object #4762

Color images and BPZ results
Catalog: 4762.cat
Black segments are analyzed here.   Roll mouse over color images to view segments.
Best viewed in a wide browser window (1200 pixels or more).   Download SED & P(z) plots to view larger versions.
In P(z) plots: Yellow lines mark the cluster redshift z = 0.390,  

Object #4762   x,y = (522, 2195)   RA, Dec = (11:51:00.360, -28:05:23.64) = (177.75150, -28.08990)   BPZ = 0.023 [0.011--2.718]   type = 11.00 (SB11_A_0_l)   stellarity = 0.95   chisq2 = 1029.35   ODDS = 0.81   z_cluster = 0.390