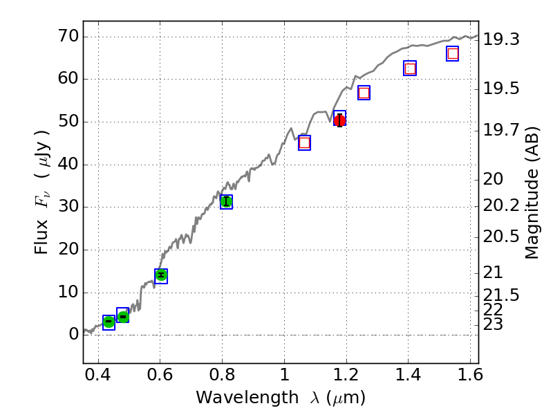
PLCKG287+32 ACS+IR detection object #3865

Color images and BPZ results
Catalog: 3865.cat
Black segments are analyzed here.   Roll mouse over color images to view segments.
Best viewed in a wide browser window (1200 pixels or more).   Download SED & P(z) plots to view larger versions.
In P(z) plots: Yellow lines mark the cluster redshift z = 0.390,  

Object #3865   x,y = (1249, 2529)   RA, Dec = (11:50:57.048, -28:05:03.84) = (177.73770, -28.08440)   BPZ = 0.354 [0.318--0.382]   type = 3.90 (Ell4_A_0 - Ell5_A_0)   stellarity = 0.03   chisq2 = 0.01   ODDS = 0.99   z_cluster = 0.390