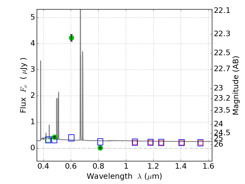
PLCKG287+32 ACS+IR detection object #3693

Color images and BPZ results
Catalog: 3693.cat
Black segments are analyzed here.   Roll mouse over color images to view segments.
Best viewed in a wide browser window (1200 pixels or more).   Download SED & P(z) plots to view larger versions.
In P(z) plots: Yellow lines mark the cluster redshift z = 0.390,  

Object #3693   x,y = (5026, 2648)   RA, Dec = (11:50:39.936, -28:04:56.64) = (177.66640, -28.08240)   BPZ = 0.018 [0.010--0.037]   type = 11.00 (SB11_A_0_l)   stellarity = 0.97   chisq2 = 956.40   ODDS = 1.00   z_cluster = 0.390