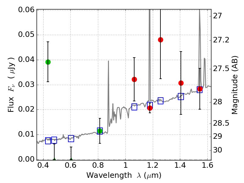
PLCKG287+32 ACS+IR detection object #3632

Color images and BPZ results
Catalog: 3632.cat
Black segments are analyzed here.   Roll mouse over color images to view segments.
Best viewed in a wide browser window (1200 pixels or more).   Download SED & P(z) plots to view larger versions.
In P(z) plots: Yellow lines mark the cluster redshift z = 0.390,  

Object #3632   x,y = (2116, 2683)   RA, Dec = (11:50:53.136, -28:04:54.48) = (177.72140, -28.08180)   BPZ = 1.354 [0.507--5.038]   type = 8.80 (SB2_B10 - SB1_B10)   stellarity = 0.01   chisq2 = 3.82   ODDS = 0.18   z_cluster = 0.390