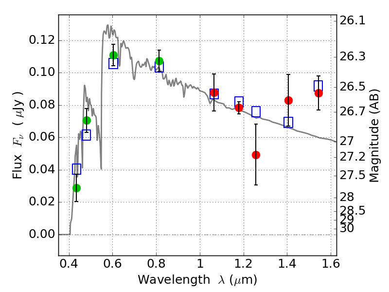
PLCKG287+32 ACS+IR detection object #3618

Color images and BPZ results
Catalog: 3618.cat
Black segments are analyzed here.   Roll mouse over color images to view segments.
Best viewed in a wide browser window (1200 pixels or more).   Download SED & P(z) plots to view larger versions.
In P(z) plots: Yellow lines mark the cluster redshift z = 0.390,  

Object #3618   x,y = (1567, 2681)   RA, Dec = (11:50:55.608, -28:04:54.48) = (177.73170, -28.08180)   BPZ = 3.506 [3.351--3.593]   type = 11.00 (SB11_A_0_l)   stellarity = 0.21   chisq2 = 0.85   ODDS = 0.99   z_cluster = 0.390