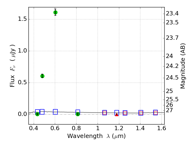
PLCKG287+32 ACS+IR detection object #2535

Color images and BPZ results
Catalog: 2535.cat
Black segments are analyzed here.   Roll mouse over color images to view segments.
Best viewed in a wide browser window (1200 pixels or more).   Download SED & P(z) plots to view larger versions.
In P(z) plots: Yellow lines mark the cluster redshift z = 0.390,  

Object #2535   x,y = (4316, 3346)   RA, Dec = (11:50:43.152, -28:04:14.88) = (177.67980, -28.07080)   BPZ = 2.767 [0.040--2.946]   type = 11.00 (SB11_A_0_l)   stellarity = 0.95   chisq2 = 713.29   ODDS = 0.64   z_cluster = 0.390