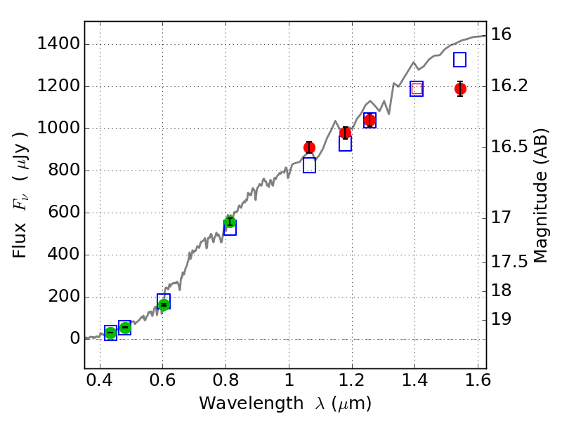
PLCKG287+32 ACS+IR detection object #1959

Color images and BPZ results
Catalog: 1959.cat
Black segments are analyzed here.   Roll mouse over color images to view segments.
Best viewed in a wide browser window (1200 pixels or more).   Download SED & P(z) plots to view larger versions.
In P(z) plots: Yellow lines mark the cluster redshift z = 0.390,  

Object #1959   x,y = (3190, 3790)   RA, Dec = (11:50:48.264, -28:03:48.24) = (177.70110, -28.06340)   BPZ = 0.523 [0.495--0.542]   type = 4.00 (Ell4_A_0)   stellarity = 0.97   chisq2 = 0.67   ODDS = 1.00   z_cluster = 0.390